반응형
수학 | Khan Academy
수학 강의 동영상을 보고 스킬을 연습해 보세요.
ko.khanacademy.org
수학 공식을 이해하고 적용하는 것은 우리의 문제 해결 능력을 크게 향상시키며,
생활의 다양한 측면에서 도전을 정복할 수 있게 해줍니다.
우리가 꼭 알아야할 '수학공식'
1. 피타고라스의 정리.
피타고라스의 정리는 직각삼각형에서 빗변의 제곱이 다른 두 변의 제곱의 합과 같다는 것을 말합니다.
이 영원한 공식을 통해 우리는 직각삼각형에서 빠진 변의 길이를 구할 수 있게 되며,
이는 건축, 공학, 항해 등 다양한 분야에서 핵심 도구로 사용됩니다.


2. 오일러의 항등식.
오일러의 항등식은 수학에서 가장 아름다운 공식 중 하나로 간주됩니다.
이 공식은 영, 일, 원주율, 자연로그의 밑 그리고 허수를 연결합니다.
이 놀라운 등식은 대수학, 삼각함수, 복소수해석 등 다양한 분야를 통합합니다.


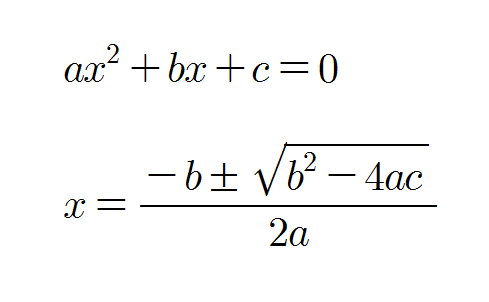
3. 근의 공식.
이차 방정식 근의 공식은 실생활 문제에서 종종 나타나는 이차 방정식을 풀기 위해 꼭 필요한 도구입니다.
이를 통해 x의 해를 구할 수 있습니다.
이는 투사 운동 계산, 최적화, 리스크 분석과 같은 많은
과학, 기술, 금융 분야에서 중요한 역할을 담당하고 있습니다.


수학의 아름다움과 실용성을 받아들이도록 합시다.
교육적인 콘텐츠 더 많이 보시려면 좋아요, 공유, 구독을 잊지마세요.
모두 즐거운 하루 되세요!
#우리가알아야할지식 #팁 #정보 #추천 #지식 #수학공식 #피타고라스의정리 #오일러의항등식 #이차방정식공식
반응형
'WURG생활지식' 카테고리의 다른 글
| 한국음악, 우리가 꼭 알아야할 필수 지식 팁 (0) | 2023.07.08 |
|---|---|
| 캐나다여행, 우리가 꼭 알아야할 필수 지식 팁 (0) | 2023.07.08 |
| 톰크루즈 영화, 우리가 꼭 알아야할 필수 지식 팁 (2) | 2023.07.07 |
| 미국여행지, 우리가 꼭 알아야할 필수 지식 팁 (0) | 2023.07.07 |
| 한국영화, 우리가 꼭 알아야할 필수 지식 팁 (0) | 2023.07.07 |